例:估算
的取值范围。解:因为1<3<4,所以
<
<
,即:1<
<2如果想估算的更精确一些,比如说想精确到0.1.可以这样考虑:因为17的平方是289,18的平方是324,所以1.7的平方是2.89,1.8的平方是3.24.
因为2.89<3<3.24,
所以
<
<
,所以1.7<
<1.8。如果需要估算的数比较大,可以找几个比较接近的数值验证一下。
比较无理数大小的几种方法:
比较无理数大小的方法很多,在解题时,要根据所给无理数的特点,选择合适的比较方法。
一、直接法
直接利用数的大小来进行比较。
①、同是正数:
例:
与3的比较
根据无理数和有理数的联系,被开数大的那个就大。
因为3=
>
,所以3>
②、同是负数:
根据无理数和有理数的联系,及同是负数绝对值大的反而小。
③、 一正一负:
正数大于一切负数。
二、隐含条件法:
根据二次根式定义,挖掘隐含条件。
例:比较
与
的大小。
因为
成立
所以a-2?0即a?2
所以1-a?-1
所以
?0,
?-1
所以
>
三、同次根式下比较被开方数法:
例:比较4
与5
大小
因为


四、作差法:
若a-b>0,则a>b
例:比较3-
与
-2的大小
因为3-
-
-2
=3-
-
+2
=5-2
<
=2.5
所以:5-2
>0
即3-
>
-2
五、作商法:
a>0,b>0,若
>1,则a>b
例:比较
与
的大小
因为
÷
=
×
=
<1
所以:
<
六、找中间量法
要证明a>b,可找中间量c,转证a>c,c>b
例:比较
与
的大小
因为
>1,1>
所以
>
七、平方法:
a>0,b>0,若a2>b2,则a>b。
例:比较
与
的大小
(
)2=5+2
+11=16+2
(
)2=6+2
+10=16+2
所以:
<
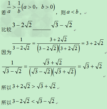
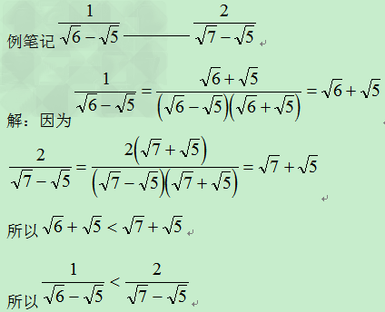
八、倒数法:
九、有理化法:
可分母有理化,也可分子有理化。 
十、放缩法:
常用无理数口诀记忆:
√2≈1.41421:意思意思而已
√3≈1.7320:一起生鹅蛋
√5≈2.2360679:两鹅生六蛋(送)六妻舅
√7≈2.6457513:二妞是我,气我一生
√8=2√2≈2.82842啊,不啊不是啊
e≈2.718:粮店吃一把
π≈3.14159,26535,897,932,384,262:
山巅一寺一壶酒,尔乐苦杀吾,把酒吃,酒杀尔,杀不死,尔乐尔
本文来自:逍遥右脑记忆 http://www.jiyifa.net/chuzhong/268958.html
相关阅读:结合分层教学浅谈初中数学教学的几点体会



