有一组邻边相等并且有一个角是直角的平行四边形叫做正方形。
特殊的长方形。
四条边都相等且四个角都是直角的四边形叫做正方形。
有一组邻边相等的矩形是正方形。
有一个角为直角的菱形是正方形。
对角线平分且相等,并且对角线互相垂直的四边形为正方形。
对角线相等的菱形是正方形。
正方形的性质:
1、边:两组对边分别平行;四条边都相等;相邻边互相垂直
2、内角:四个角都是90°;
3、对角线:对角线互相垂直;对角线相等且互相平分;每条对角线平分一组对角;
4、对称性:既是中心对称图形,又是轴对称图形(有四条对称轴);
5、正方形具有平行四边形、菱形、矩形的一切性质;
6、特殊性质:正方形的一条对角线把正方形分成两个全等的等腰直角三角形,对角线与边的夹角是45°;
正方形的两条对角线把正方形分成四个全等的等腰直角三角形;
7、在正方形里面画一个最大的圆,该圆的面积约是正方形面积的78.5%;
正方形外接圆面积大约是正方形面积的157%。
8、正方形是特殊的长方形。
正方形的判定:
判定一个四边形为正方形的一般顺序如下:先证明它是平行四边形,再证明它是菱形(或矩形),最后证明它是矩形(或菱形)。
1:对角线相等的菱形是正方形。
2:有一个角为直角的菱形是正方形。
3:对角线互相垂直的矩形是正方形。
4:一组邻边相等的矩形是正方形。
5:一组邻边相等且有一个角是直角的平行四边形是正方形。
6:对角线互相垂直且相等的平行四边形是正方形。
7:对角线相等且互相垂直平分的四边形是正方形。
8:一组邻边相等,有三个角是直角的四边形是正方形。
9:既是菱形又是矩形的四边形是正方形。
有关计算公式:
若S为正方形的面积,C为正方形的周长,a为正方形的边长,则
正方形面积计算公式:S =a×a(即a的2次方或a的平方),或S=对角线×对角线÷2;
正方形周长计算公式: C=4a 。
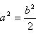
S正方形=
。(正方形边长为a,对角线长为b)
本文来自:逍遥右脑记忆 http://www.jiyifa.net/chuzhong/742181.html
相关阅读:上海初中数学知识点之实数的概念



