复数的运算:
1、复数z1与z2的和的定义:z1+z2=(a+bi)+(c+di)=(a+c)+(b+d)i;
2、复数z1与z2的差的定义:z1-z2=(a+bi)-(c+di)=(a-c)+(b-d)i;
3、复数的乘法运算规则:设z1=a+bi,z2=c+di(a、b、c、d∈R)是任意两个复数,那么它们的积(a+bi)(c+di)=(ac-bd)+(bc+ad)i,其实就是把两个复数相乘,类似两个多项式相乘,在所得的结果中把i2换成-1,并且把实部与虚部分别合并,两个复数的积仍然是一个复数。
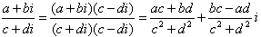
4、复数的除法运算规则:
。
复数加法的几何意义:
设
为邻边画平行四边形
就是复数
对应的向量。
复数减法的几何意义:
复数减法是加法的逆运算,设

,则这两个复数的差
对应,这就是复数减法的几何意义。
共轭复数:
当两个复数的实部相等,虚部互为相反数时,这两个复数叫做互为共轭复数。
虚部不等于0的两个共轭复数也叫做共轭虚数。
复数z=a+bi和
=a-bi(a、b∈R)互为共轭复数。
复数的运算律:
1、复数的加法运算满足交换律:z1+z2=z2+z1;
结合律:(z1+z2)+z3=z1+(z2+z3);
2、减法同加法一样满足交换律、结合律。
3、乘法运算律:(1)z1(z2z3)=(z1z2)z3;(2)z1(z2+z3)=z1z2+z1z3;(3)z1(z2+z3)=z1z2+z1z3
共轭复数的性质:



本文来自:逍遥右脑记忆 http://www.jiyifa.net/gaozhong/258369.html
相关阅读:高中数学知识点:等比数列的前n项和



