海水温度是反映海水热状况的一个物理量。海水温度有日、月、年、多年等周期性变化和不规则的变化,它主要取决于海洋热收支状况及其时间变化。
海水盐度:
单位质量(100克)海水中所含盐类物质(氯化钠和氯化镁)的质量。世界大洋的平均盐度为3.5%。
海水温度的影响因素和分布规律:
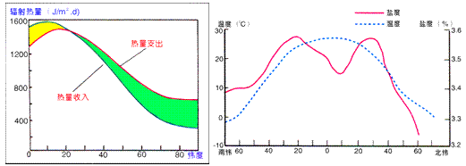
1、海水热量的收入和支出:收入主要是太阳辐射,支出主要是海水的蒸发。收支基本平衡,但不同季节,各个海区收支并不平衡,低纬度海区收入大于支出,中高纬度海区支出大于收入
2、海水温度的分布规律:
3、海洋表层温度的分布规律
海洋表层的温度状况是低纬度海区的水温高,高纬度海区的水温低;在同一海区,夏季的水温高些,冬季的水温低些;与同纬度海区相比,有暖流流过的海区,水温高些,有寒流流过的海区,水温要低些。
4、不同海区海水温度随水深的变化规律:
海洋在垂直方向上,由于太阳辐射首先到达海水表面,海水导热率又很低,海水的温度随深度增加而递减,只是在表层海水以下,海水温度随水深变化不大,特别是1000米以下的水温变化很小,经常保持着低温状态。
影响海水盐度的主要因素:
①气候因素——海水盐度的高低主要取决于气候因素,即降水量与蒸发量的关系。降水量大于蒸发量,盐度较低,反之较高。
②洋流因素——同一纬度海区,有暖流经过盐度偏高;寒流经过盐度偏低。
③河流径流注入因素——有大量河水汇入的海区,盐度偏低。
另外,高纬度海区结、融冰量的大小(有结冰现象发生的海区,盐度偏高;有融冰现象发生的海区,盐度偏低)、海区的封闭度(海区封闭度越强,盐度会趋于更高或更低)、与附近海区海水的交换量等也能影响到海水的盐度高低。各个因素具有时空不同的变化,因此海水的盐度高低也具有时空的差异。
海水温度的变化:
1、水平方向:
时间变化——日变化,午后(14~15时)水温最高,日出前后最低;年变化,北半球,8月水温最高2月水温最低;季节变化,夏季的水温高些,冬季的水温低些。
空间变化——由低纬向高纬逐渐递减,最高水温出现在北纬7°左右。极圈附近降至0°左右;与同纬度海区相比,有暖流流过的海区,水温高些,有寒流流过的海区,水温要低些。
2、垂直方向:
海水的温度随深度增加而递减,特别是1000米以下的水温变化很小,经常保持着2~5°的低温状态。
某些海沟处会出现逆温现象,主要是由于地热作用的结果。
海水对大气温度的调节作用:
海水的温度变化比陆地温度变化小;海洋上空的气温变化比陆地上空慢。
原因:海水热容>陆地>空气
海水盐度变化规律:
从南北半球的副热带海区分别向两侧的高纬度和低纬度递减。(如下图)
①副热带海区盐度最高的原因:气温高,蒸发大;副热带高压控制,下沉气流为主,降水少。
②赤道海区盐度较低的原因:赤道低气压控制,蒸发量大,但降水量更大。
③高纬度海区盐度低的原因:气温低,蒸发量小;温带多雨带,多河流水注入。
④60°N比60°S海区盐度低的原因:北半球陆地面积大,河流水注入多。
分析影响海水盐度因素的方法:
①同一纬度海区,主要考虑各海区降水量与蒸发量的关系
②不同纬度海区,主要考虑寒、暖流的影响;其次近岸海区河流径流注入量的大小;高纬度海区还要考虑结、融冰的情况。
最高海区:红海位于副热带,降水稀少、蒸发旺盛、陆上流入淡水少与外洋相通的水域狭窄,达4.1%
最低海区:波罗的海。原因:温带海洋性气候,河流有大量淡水汇入;纬度较高,蒸发小、与外洋相通的水域狭窄。不超过1%。

相关高中地理知识点:等值线地图的判读及综合应用
等值线地图:
以一组相等数值的连线表示制图对象数量、特征的地图。简称等值线图。
如年平均气温图、年降水量图。它是专题地图的重要图型,最先用于描述地形。
常见的有表现地势起伏和地貌结构的等高线图与等深线图;
表现气温、水温、地温变化的等温线图;表现大气降水量变化的等降水量线图;
表现地磁、地震变化的等磁偏线图、等磁力线图、等震线图。另外,还有等压线、等风速线、等日照线、等云量线、等湿度线、等密度线、等透明度线、等盐分含量线、等时线等图。通常等值线所代表的数值为整数。
等值线(面)类型与影响分布的因素:
等值线(面)类型 | 影响分布的因素 |
等高线 | 地质作用(内力、外力) |
等深线 | 地质作用(内力、外力) |
等温线 | 纬度、海陆、地形、洋流、大气环流等 |
等降水量线 | 纬度、海陆、地形、洋流、大气环流等 |
等太阳辐射量线 | 纬度、太阳高度、海拔高度、云雾量等 |
等压线 | 热力作用(气温)、动力作用 |
等压面 | 海拔高度、热力作用(气温)、动力作用 |
等盐度线 | 蒸发量、降水量、洋流、径流等 |
等值线(面)图判读的一般规律:
(1)读数据(注意等值距)?
①读等值线(面)上的点
规律一:一般,在同一幅等值线图中,相邻两条等值线的差值相同或者为零。?
②读等值线之间或闭合等值线内的点?
规律二:一般,等值线两侧的数值不同。?
(2)比大小:根据地理要素的分布规律判读等值线(面)的大小。
(3)看疏密(比较值差)?
规律三:同一幅等值线图上,等值线越密,说明该地理要素的地区分布差异越大。
(4)析弯曲(判断地理要素的影响因素)?
规律四:等值线向数值大方向弯曲的地方数值小,向数值小方向弯曲的地方数值大。?
规律五:等值线的弯曲反映了地理要素的分布受到某些因素的影响。等值线的弯曲程度反映了弯曲处数值与平直处数值的差别程度。?
(5)判方向:主要是在等高(深)线上判断坡向,在等压线上判断风向。?
规律六:坡向由高处指向低处,垂直于等高线。近地面风向由高压指向低压,与等压线斜交,北半球向右偏,南半球向左偏。
等高线图的判读:
一、等高线图上基本地形的判读:

注:
①陡崖高度计算方法:(x-1)d≤ΔH<(x+1)d (d为相邻两条等高线的差即等高距,X为重叠的等高线条数)
②等高线与五种地形的关系:
海拔200米以下,等高线稀疏,广阔平坦—为平原地形;
海拔500米以下,相对高度小于100米,等高线稀疏,弯折部分较和缓—为丘陵地形;
海拔500米以上,相对高度大于100米,等高线密集,河谷转折呈V字形—为山地地形;
海拔高度大,相对高度小,等高线在边缘十分密集,而顶部明显稀疏—为高原地形。
二、等高线地形图的综合判读和运用:
(1)等高线图的特点及判读
①等高线图上高、低区域的判读方法
a垂线法
在等值线图上弯曲最大处两侧作等值线的垂线,方向是从高值指向低值,若箭头向中心辐合,则为低值区;若箭头向外围辐散,则为高值区。在等高线图上,辐合是山谷(集水线),辐散是山脊(分水线)。若为等压线,辐合是低压槽,辐散是高压脊。

b切线法
切线法是指在等值线弯曲最大处作某条等值线的切线,比较切点与切线上其他点(该切线与其他等值线的交点)的数值大小。若切点数值小于其他点的数值,则为低值区(山谷);若切点数值大于其他点的数值,则为高值区(山脊)。

c口诀法
等值线向高值方向凸出为低值区,等值线向低值方向凸出为高值区。可编口诀“凸高为低,凸低为高”“槽线对山谷、脊线对山脊”等等。(大山谷、小山脊)

②闭合等高线图的判读
a剖面线法
相邻的两条等值线之间的闭合等值线,其内部数值可以通过类似作“地形剖面图”的方法,看数值曲线变化趋势来判断其数值范围。

b口诀法
相邻的两条等值线之间的闭合等值线,若其值与低值相同,则线内数值比低值低;若其值与高值相同,则线内数值比高值高.即“大于大的,小于小的”(若为等高线,大值对山地,小值对盆地;若为等温线,小值对山地,大值对盆地)。

(3)等高线图的实际运用:
①与气候结合:
A、海拔高的地区应考虑气温的垂直递减。0.60°C/100m
B、山区应考虑迎风坡和背风坡。(降水量的差异)
C、盆地不易散热,又容易引起冷空气的滞留等。
②与河流水文结合:
A、由山谷的分布,判断河流的位置及流向。
B、水库坝址的选择:一般选在峡谷处,且考虑水库库址应选在河谷、山谷地区“口袋形”洼地处(水平距离窄,垂直落差大);峡谷上游要有蓄水库区。坝址位置须岩石结构紧密,不易被侵蚀,如花岗岩。
③与地区规划结合:
A、铁路、公路选线:一般尽量选在缓坡,避开陡崖、滑坡,通往山顶的公路,往往需建盘山路。翻山时应选择缓坡,并通过鞍部。
B、港口应考虑:避风的海湾,避开含沙量大的河流(以免引起航道淤塞);浴场多选择在海滨缓坡沙岸。
C、农业区划:根据等高线反映出来的地形类型,地势起伏、坡度陡缓、水源条件等,因地制宜进行农业生产区划。一般平原多为耕作业,山坡草地多发展畜牧业,山地多发展林业。
D、工厂厂址选择:除交通、资源、技术等因素外,往往也要考虑地形、地质情况。生产高、精、尖等电子产品的工厂一般选在环境优美、交通便利的地方。
E、建疗养院:一般选在城郊山地向阳坡,清静,空气新鲜,森林覆盖率高的地方。
等温线的判读:
目标:根据等温线的疏密、弯曲情况来判断气温的变化;根据气温分布的特点来分析影响的因素。
一、判读规律:
①等温线数值:(气温无论一月,还是七月,都是由低纬向两极递减。)数值自南向北递增——北半球;数值自北向南递增——南半球。
②等温线疏密:等温线密集——气温差异大;等温线稀疏——气温差异大。
二、等温线的弯曲分布规律:
等温线向高纬突出——表明气温比同纬高
等温线向低纬突出——表明气温比同纬低(“高高低低”规律)
等温线平直——下垫面性质单一。(如南半球40°---60°处的等温线较平直,说明海洋面积大,性质均一。)
思考:哪些因素影响等温线的弯曲分布?(冬夏季节、海陆状况、地势高低、寒暖流)见下表:
影响因素 | 比同纬度地区气温 | 等温线弯曲状况 | 影响因素 | 比同纬度地区气温 | 等温线弯曲状况 |
大陆夏季 | 气温高 | 向高纬凸出 | 大陆冬季 | 气温低 | 向低纬凸出 |
海洋冬季 | 气温高 | 向高纬凸出 | 海洋夏季 | 气温低 | 向低纬凸出 |
地势较低 | 气温高 | 向高纬凸出 | 地势较高 | 气温低 | 向低纬凸出 |
暖流经过 | 气温高 | 向高纬凸出 | 寒流经过 | 气温低 | 向低纬凸出 |
总结:等温线弯曲分布规律——高高、低低规律 | |||||
等压线图的判读(同一海拔高度民主上气压水平分布情况):
目标:
①根据等压线的排列和数值——气压场类型高压、低压、高压脊、低压槽、鞍部)
②判断风向
③分析天气变化判读规律:
①等压线的排列和数值:
低压中心——类似于等高线图中的盆地(中心为上升气流)
高压中心——类似于等高线图中的山顶(中心为下沉气流)
高压脊——类似于等高线图中的山脊(脊线)
低压槽——类似于等高线图中的山谷(槽线)
②等压线的疏密程度:(决定风力大小)
等压线的密集——气压梯度力大——风力大
等压线的稀疏——气压梯度力小——风力小
③在等压线图上判定风向(任意点)和天气形势:
判定风向规律:先明确高低气压;其次确定气压梯度力的方向;最后根据南、北半球画出偏向风。
天气:是指大气短时间内的物质状态,包括气温高低、湿度大小、风向、气压等指标。
A、由高纬吹向低纬的风------寒冷干燥
B、由低纬吹向高纬的风------温暖湿润
C、低气压过境时,多阴雨天气;高气压过境时,多晴朗天气
等降水量线图的判读:
把图上年平均降水量相等的各点连成光滑的曲线。
说明年降水量的分布情况等降水量线基本与海岸线平行,且能显著的反映经度地带性规律。例如:我国年降水量分布图(见初中地理第三册),根据图中的等降水量线分布情况,可看出我国年降水量的分布特点。由东南沿海向西北内陆逐步减少。
海洋表面平均等盐度线图的判读:
(1)世界海洋表面盐度的分布规律:由副热带海区分别向两侧的低纬和高纬递减。
(2)等盐度线的弯曲分布——暖流、寒流的影响。暖流经过——盐度增大——等盐度线向高纬凸出。寒流经过——盐度减小——等盐度线向低纬凸出。
海洋表面平均等盐度线图的判读——
(1)世界海洋表面盐度的分布规律:由副热带海区分别向两侧的低纬和高纬递减。
(2)等盐度线的弯曲分布--暖流、寒流的影响。
暖流经过--盐度增大--等盐度线向高纬凸出。寒流经过--盐度减小--等盐度线向低纬凸出。
等潜水位线的判读:
类似于等高线,潜水面相等的点连成线。潜水位高低和地形起伏相一致。潜水流动方向垂直于等潜水位线,由高水位流向低水位。等潜水位线与河流、湖泊相交时,其数值等同于河面、湖面的海拔。
潜水等水位线图就是潜水面等高线图。它是根据潜水面上各点的水位标高绘制成的;一般绘在等高线地形图上。绘制的方法与绘制地形等高线的方法类似。等潜水位线(潜水面的等高线):
(1)判断地势的高低潜水位的高低起伏与地表地势的高低起伏基本一致,但潜水位要平缓得多。
(2)判断潜水的流向垂直等潜水位线,由高水位流向低水位。
(3)判断河流的流向河流的流向与等潜水位线的递减方向一致。
(4)判断潜水的流速等潜水位线越密集,潜水流速越快;等潜水位线越稀疏,潜水流速越慢。
(5)计算潜水的埋藏深度一地的潜水埋藏深度(潜水面到地表的距离)等于该地的等高线和等潜水位线的交点的数值差。
(6)判断潜水与河水的补给关系
方法1:首先,作出河流两岸的潜水流向;然后,依据潜水的流向进行判断。若潜水的流向向河流汇合,则潜水补给河水;若潜水的流向向河流分开,则河水补给潜水


(7)合理布置取水井和排水沟为了最大限度地使潜水流入水井和排水沟,当等潜水位线凹凸不平、疏密不均,取水井(或排水沟)应布置在潜水汇流处;当等潜水位线由密变疏时,取水井(或排水沟)应布置在由密变疏的交界处,并与等潜水位线平行。
(8)等潜水位线有关问题
特征 | 应用 |
数值 | 判断地势分布和河流流向:地势高处潜水位高地势低处潜水位低潜水埋藏深度=地面海拔—潜水海拔 |
疏密 | 潜水的流速:等潜水位线密—流速快;疏—流速慢 |
走向和 | 潜水流向:垂直于等潜水位线,从高处指向低处 |
闭合 | 中心潜水位低:地下水开采过度中心潜水位高:降水多或大水漫灌 |
(9)水井的位置:地下水汇集(潜水位线类似于山谷处)埋藏深度小处
(10)排水沟的问题:一般这类题所说的排水沟是指能将坡面上的地下水迅速排出,以免引起滑坡或大堤跨塌,所以与等潜水位线平行,有利于地下水流走。
等值线地图的应用:
1.判断水系特征、水文特征:
(1)水系特征:山地常形成放射状水系;盆地常形成向心状水系;山脊常形成分水岭(山脊处等高线弯曲最大处的连线称分水线);山谷常有河流发育,等高线穿越河谷时向上游弯曲,即河流流向与等高线凸出方向相反。
(2)水文特征:等高线密集的河谷,河流流速大,陡崖处有时形成瀑布;河流的流量还与流域面积(集水区域面积)和所处迎风坡、背风坡有关;河流流出山口常形成冲积扇。
2.帮助人们在工农业生产活动中进行正确的区位选择:
(1)确定水库库址与大坝坝址水库库区宜选择在河谷、山谷地区或选在口袋形的洼地、小盆地,这些地区库容大,有较大的集水面积(如上图中甲处)。水库坝址则应选在河谷、山谷地区的最窄处或口袋形的洼地、小盆地的袋口处(如上图中乙处),确定坝高时应依据出口处等高线的高程(如上图中应选择200米高程),坝长可依据比例尺计算得出。
(2)确定交通线路
一般交通建设的线路选择要求坡度平缓、线路较短,尽量少占农田、少建桥梁,避开断崖、陡坡等,如下图所示:
从A处修铁路到C处,经过B处坡度较缓,施工较易;而经过D处则坡度较陡,施工不易,增加建设费用,故应选择图中的虚线线路。
(3)指导农业生产布局根据等高线地形图反映出来的地貌类型、地势起伏、坡度陡缓,结合气候和水源条件,因地制宜地提出农林牧副渔业布局方案。例如,平原宜发展种植业,山区宜发展林业、牧业。
(4)影响工业区、居民区选址工业区宜建在地形平坦开阔的地区,最好是交通便利,水源充足,接近资源;居民区最好建在依山傍水、地势开阔的向阳地带,并且要交通便利,远离污染。
3.有关问题的计算:
(1)计算两地间的相对高度从等高线上读出任意两点的海拔高度,就可以计算这两点的相对高度:H相=H高-H低。
(2)计算两地间的气温差已知某地的气温和两地间的相对高度,根据气温垂直递减率(0.6℃/100m)可以计算两地间的气温差异:T差=0.6/100?H相(℃)。
(3)估算某地形区的相对高度在等高线地形图上,若某地形区最下部等高线的注记高程为H低,最上部等高线的注记高程为H高,该图的等高距为d,则该地形区的相对高度为:H高-H低≤H相
等高线图的判读及应用:
等高线地形图的综合判读和运用: 
规律总结:等高线的判读注意“五读” :
(1)延伸方向——等高线延伸方向为地形走向,与等高线垂直方向为坡度最陡方向,是水流方向。
(2)疏密程度——密陡疏缓。等高线稀疏表示坡度缓,等高线密集表示坡度陡。
(3)极值——某区域海拔最大或最小情况,显示该区域地势起伏大小。
(4)弯曲状况——等高线向地势低的方向凸,则为山脊;相反则为山谷。
(5)闭合等高线——高度不在正常范围内,其特点是“大于大的”或“小于小的”。
本文来自:逍遥右脑记忆 http://www.jiyifa.net/gaozhong/298511.html
相关阅读:2015高考地理最后冲刺试题:地壳物质运动规律(4)



