其他不常见有机物(杂环、难命名的有机物、K粉)
(1)根据有机物结构简式计算消耗碱的量:
①1mol酚羟基消耗1mol氢氧化钠;
②1mol羧基消耗1mol氢氧化钠;
③若有酯的结构,则先让酯进行酸性水解,再看产物能否和氢氧化钠反应:若酸性水解的产物是羧酸和醇,1mol酯只能和1mol氢氧化钠反应;若酸性水解的产物是羧酸和酚类物质,则1mol酯能和2mol氢氧化钠反应
(2)根据有机物结构简式写出其分子式
①如果题目给出了有机物结构的球棍模型,我们首先要判断每个球各代表何种元素的原子,它们之间是以单键、双键还是叁键结合的,此时各原子可采用数的办法以确定其个数。
如:某有机物分子结构模型为
经观察易知:六元环为苯环,且为苯的邻二代物,分别是羟基和醛基,则其分子式为:C7H6O2。
②利用不饱和度确定氢原子的个数,如
共有18个C:6+6+1+1+4=18,若饱和,H原子应为2×18+2=38(个)。不饱和度:除苯环外另有四个环,碳碳双键和碳氧双键各两个,所以不饱和度为4+4+2+2=12,故H原子的个数为:38-12×2=14,其分子式为C18H14O6
根据此原则,有机物
该有机物的C原子数为1+6+6+3=16,不饱和度为9。所以H原子数为16×2+2-9×2=16,其分子式为C16H16O3。
(3)若烃或烃的含氧衍生物中出现-X或-NO2,由于-X和-NO2均是取代一个H原子,所以-X或-NO2每增加一个,对应的H原子就少一个。
如:
C原子数为14,不饱和度为7,另有两个Cl原子,则H原子数为14×2+2-7×2-2×1=14,即分子式为C14H14Cl2O4。
又如:
C原子数为16,不饱和度为1+4+1+4=10,-NO2和-Br各两个,所以H原子数为16×2+2-10×2-2×1-2×1=10,即分子式为C16H10N2O9Br2。
(4)据C、O、N三种元素原子的成键规律可知:在C原子数不变时,引入O原子,无论是-O-或-OH或羰基等,都不会影响到H原子的个数;而以-NH2或-NH-的形式引入N原子,则每多一个N原子对应就多一个H原子。
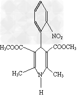
如:
其C原子数为17,不饱和度为4+2+3=9;-NO2为1、-NH-也为1,所以H原子数为17×2+2-9×2-1+1=18,即分子式为C17H18N2O6。
本文来自:逍遥右脑记忆 http://www.jiyifa.net/gaozhong/328982.html
相关阅读:揭秘高中化学在日常生活中的四大应用_0



