正弦函数和余弦函数的图象:正弦函数y=sinx(x∈R)和余弦函数y=cosx(x∈R)的图象分别叫做正弦曲线和余弦曲线,
1.正弦函数 
2.余弦函数
函数图像的性质
正弦、余弦函数图象的性质: 
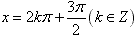
由上表知,正弦与余弦函数的定义域都是R,值域都是[-1,1],对y=sinx,当
时,y取最大值1,
当
时,y取最小值-1;对y=cosx,当x=2kπ(k∈Z)时,y取最大值1,当x=2kπ+π(k∈Z)时,y取最小值-1。
正弦、余弦函数图象的性质:

由上表知,正弦与余弦函数的定义域都是R,值域都是[-1,1],对y=sinx,当
时,y取最大值1,
当
时,y取最小值-1;对y=cosx,当x=2kπ(k∈Z)时,y取最大值1,当x=2kπ+π(k∈Z)时,y取最小值-1。
相关高中数学知识点:正切、余切函数的图象与性质(定义域、值域、单调性、奇偶性等)
正切函数的图像:

余切函数的图像:

正切函数的性质:
(1)定义域:
;
(2)值域是R,在上面定义域上无最大值也无最小值;
(3)周期性:是周期函数且周期是π,它与直线y=a的两个相邻交点之间的距离是一个周期π;
(4)奇偶性:是奇函数,对称中心是
(k∈Z),无对称轴;
(5)单调性:正切函数在开区间
内都是增函数。但要注意在整个定义域上不具有单调性。
余切函数的性质:
(1)定义域:x≠kπ,k∈Z
(2)值域:实数集R;
(3)周期性:是周期函数,周期为kπ(k∈Z且k≠0),最小正周期T=π
(4)奇偶性:奇函数,图像关于(
,0)(k∈z)对称,实际上所有的零点都是它的对称中心
(5)单调性:在每一个开区间(kπ,(k+1)π),(k∈Z)上都是减函数,在整个定义域上不具有单调性
本文来自:逍遥右脑记忆 http://www.jiyifa.net/gaozhong/408241.html
相关阅读:2015年高考数学题型归纳:正弦定理知识归纳



