逍遥右脑记忆网-免费提供各种记忆力训练学习方法!
超右脑
|
催眠术
|
潜能开发
|
影像阅读
|
右脑开发训练
|
手机访问
记忆方法
右脑开发
快速阅读
思维导图
学习方法
学习计划
作文大全
早期教育
励志名言
右脑记忆
记忆法
|
记忆宫殿
|
记忆力训练
记忆术
|
最强大脑
|
右脑记忆法
学习方法
高中学习方法
|
高考
|
小学资源
|
单词记忆
初中学习方法
|
中考
|
教案设计
|
试题中心
潜能成功
吸引力法则
|
成功学
|
九型人格
注意力训练
|
潜意识
|
思维模式
高中学习方法
高中语文
高中英语
高中数学
高中物理
高中化学
高中生物
高中政治
高中历史
高中地理
高中教案
高中试题
高一学习方法
高一语文
高一数学
高一英语
高一物理
高一化学
高一生物
高一政治
高一历史
高一地理
高一学习
高二学习方法
高二语文
高二数学
高二英语
高二物理
高二化学
高二生物
高二政治
高二历史
高二地理
高二学习
高三学习方法
高三语文
高三数学
高三英语
高三物理
高三化学
高三生物
高三政治
高三历史
高三地理
高三学习
精品推荐:
记忆力培训
|
快速阅读培训
|
速读训练软件
|
右脑训练卡片
|
数字记忆编码卡
逍遥右脑
>
高中学习方法
>
高中数学
>
高中数学知识点:柯西不等式
编辑:
逍遥路
关键词:
高中数学
来源:
高中学习网
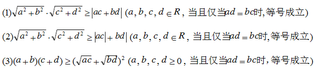
二维形式的柯西不等式:
二维形式的柯西不等式的向量变形:
|
|
|
柯西不等式的推广:
二维形式的柯西不等式的变式:
本文来自:逍遥右脑记忆 http://www.jiyifa.net/gaozhong/485072.html
相关阅读:
构建充满活力的数学课堂
上一篇:
学生如何做好初高中的数学衔接学习?
下一篇:没有了
相关主题
构建充满活力的数学课堂
2016年高三数学最实用学习方法
娱乐性的数学教学方法
新课改下高中数学作业的研究
高考数学第一轮备考排列组合二项式定理口诀
情感教育与数学教学
高中数学知识点:球的表面积与体积
充分发挥高中数学新课程教材的“平台”作用
提高数学教学成效的“三环节”
新高三数学学习注重策略 要提高自身学习效率
相关推荐
最新主题
高中数学知识点:柯西不等式
二维形式的柯西不等式: 二维形式的柯西不等式的向量变形: | | | 柯西不等式的推广: 二维……
学生如何做好初高中的数学衔接学习?
1.强化逻辑推理能力 刚升入高中,学生的逻辑推理能力不强,不善于运用代数法解题,往往只会……
数学说课与优化教学
课堂教学是落实素质教育的主渠道。近年来,我们除了继续抓好优质课评癣评课等教学活动外,……
分析高中数学学习效率低下的影响因素的实
摘要:随着学习的不断推进,数学的学习深度也在不断增加。由于高中数学有着比较抽象,涉及内容……
如何培养良好的数学学习习惯
学习习惯的养成与学习环境和教育有关,是在后天教育培养下形成的一种自觉的活动倾向,它是……
相关阅读
统计单元测试
高一新生如何学好数学:基础
高中数学复习指导:数学归纳法
高中数学指导:不等式的基本性质_高中数
浅谈新课程理念下高中数学的教与学
高中代数-数列
初学不等式者“鉴”
高一数学怎么学好呢?
高中学习指导:学习数学就是学习解题
数学教学中如何培养学生自主学习能力