等比数列的通项公式:
an=a1qn-1,q≠0,n∈N*。
等比数列的通项公式的理解:
①在已知a1和q的前提下,利用通项公式
可求出等比数列中的任意一项;
②在已知等比数列中任意两项的前提下,使用
可求等比数列中任何一项;
③用函数的观点看等比数列的通项,等比数列{an}的通项公式
,可以改写为
.当q>o,且q≠1时,y=qx是一个指数函数,而
是一个不为0的常数与指数函数的积,因此等比数列{an}的图象是函数
的图象上的一群孤立的点;
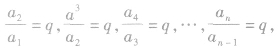
④通项公式
亦可用以下方法推导出来:
将以上(n一1)个等式相乘,便可得到
⑤用方程的观点看通项公式.在an,q,a1,n中,知三求一。
本文来自:逍遥右脑记忆 http://www.jiyifa.net/gaozhong/503111.html
相关阅读:2014高考数学提高一轮复习效率



