高中数学知识点:分式不等式

编辑: 逍遥路 关键词: 高中数学 来源: 高中学习网


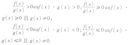
分母恒为正时可去分母;分母不恒为正时不能去分母,应先移项使右边为0再通分并将分子分母分解因式,最后用标根法求解。解分式不等式的主旨是化分式不等式为整式不等式,进行求解。

分式不等式的解法:


分母恒为正时可去分母;分母不恒为正时不能去分母,应先移项使右边为0再通分并将分子分母分解因式,最后用标根法求解。解分式不等式的主旨是化分式不等式为整式不等式,进行求解,即



本文来自:逍遥右脑记忆 http://www.jiyifa.net/gaozhong/507602.html

相关阅读:2016年高考数学答题技巧:选择题十大解法