两条平行直线间的距离:
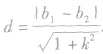
两平行线l1:A1x+B1y+C1=0,l2:A2x+B2y+C2=0间的距离为d=
。
对两条平行直线间的距离公式的理解:
①两条平行直线间的距离,就是在其中一条直线上任取一点,这个点到另一条直线的距离,此点一般可以取直线上的特殊点,该方法体现了化归思想,即由线线间的距离到点线间的距离的转化,当然点线间的距离也可以化归为点点间的距离来求解;
②当利用两条平行直线间的距离公式d=
时,一定要先将两直线的方程化为一般形式且x和y的系数对应相等;
③如果两平行直线的方程用斜截式方程表示为
那么两平行直线间的距离公式为
本文来自:逍遥右脑记忆 http://www.jiyifa.net/gaozhong/572234.html
相关阅读:高中数学主体参与教学模式探究



