逍遥右脑记忆网-免费提供各种记忆力训练学习方法!
超右脑
|
催眠术
|
潜能开发
|
影像阅读
|
右脑开发训练
|
手机访问
记忆方法
右脑开发
快速阅读
思维导图
学习方法
学习计划
作文大全
早期教育
励志名言
右脑记忆
记忆法
|
记忆宫殿
|
记忆力训练
记忆术
|
最强大脑
|
右脑记忆法
学习方法
高中学习方法
|
高考
|
小学资源
|
单词记忆
初中学习方法
|
中考
|
教案设计
|
试题中心
潜能成功
吸引力法则
|
成功学
|
九型人格
注意力训练
|
潜意识
|
思维模式
高中学习方法
高中语文
高中英语
高中数学
高中物理
高中化学
高中生物
高中政治
高中历史
高中地理
高中教案
高中试题
高一学习方法
高一语文
高一数学
高一英语
高一物理
高一化学
高一生物
高一政治
高一历史
高一地理
高一学习
高二学习方法
高二语文
高二数学
高二英语
高二物理
高二化学
高二生物
高二政治
高二历史
高二地理
高二学习
高三学习方法
高三语文
高三数学
高三英语
高三物理
高三化学
高三生物
高三政治
高三历史
高三地理
高三学习
精品推荐:
记忆力培训
|
快速阅读培训
|
速读训练软件
|
右脑训练卡片
|
数字记忆编码卡
逍遥右脑
>
高中学习方法
>
高中数学
>
高中数学知识点:无理不等式
编辑:
逍遥路
关键词:
高中数学
来源:
高中学习网
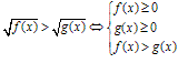
无理不等式主要形式及其解法:
1、
2、
3、
解无理不等式的关键:
去根号,把无理不等式转化成有理不等式。
本文来自:逍遥右脑记忆 http://www.jiyifa.net/gaozhong/825821.html
相关阅读:
浅谈提高学生的学习兴趣对数学教学的作用
上一篇:
数学概念教学的几点分析与思考
下一篇:没有了
相关主题
浅谈提高学生的学习兴趣对数学教学的作用
谈谈高中数学的有效课堂教学
怎样引导学生学好数学
学好数学的十三种好习惯,你做到了吗?
备战高考数学一轮复习五点建议
沈括数这坛子的方法
高中数学课程要强调发展学生的应用意识
吴国平:在数学中如果没有8会怎样?
高中数学学科如何渗透德育
高中数学必修一知识结构图
相关推荐
最新主题
高中数学知识点:无理不等式
无理不等式主要形式及其解法: 1、 2、 3、 解无理不等式的关键: 去根号,把无理不等式转……
数学概念教学的几点分析与思考
【摘要】概念教学是中学数学中至关重要的一部分内容,是基本技能代写论文教学的核心,正确……
快速记忆数学知识的六个方法
记忆力好对学习成绩的提升是有很大帮助的,学过的知识记的越牢,积累的知识也就会越丰富,……
实施有效策略 优化数学课堂教学
随着教育改革的深入发展,提高学生的整体素质成为改革的中心议题。新课程标准指出:数学教……
开n次方??孟宪训 .9.7
相关链接 开n次方——孟宪训 .9.7 开n次方——孟宪训 .7.9 开n次方——孟宪训 .1.13 关于垡……
相关阅读
文艺复兴时期的数学
空间直线知识点总结
2014高考数学冲刺 打好高考数学考前复习
转变课堂教学模式 提高数学教学实效
高中数学学习:如何学好高中数学
数学答题技巧:选择题填空题的解题技巧
正视数学激励性评价的有效性
高中数学知识点:动点的轨迹方程
高三数学学习方法
用最少篱笆围出最大面积