数列的极限定义(描述性的):
如果当项数n无限增大时,无穷数列
的项an无限地趋近于某个常数a(即
无限地接近于0),a叫数列
的极限,记作
,也可记做当n→+∞时,an→a。
数列的极限严格定义:
即ε-N定义:对于任何正数ε(不论它多么小),总存在某正数N,使得当n>N时,一切an都满足
,a叫数列
的极限。
数列极限的四则运算法则:
若
,则
(1)
,
;
(2)
,
;
(3)
。
前提条件:(1)各数列均有极限,(2)相加减时必须是有限个数列才能用法则。
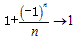
an无限接近于a的方式有三种:
第一种是递增的数列,an无限接近于a,即an是在常数a的左边无限地趋近于a,如n→+∞时,
;
第二种是递减数列,an无限地趋近于a,即an是在常数a的右边无限地趋近于a,如n→+∞时,是
;
第三种是摆动数列,an无限地趋近于a,即an是在无限摆动的过程中无限地趋近于a,如n→+∞时,
。
一些常用数列的极限:
(1)常数列A,A,A,…的极限是A;
(2)当
时,
;
(3)当|q|<1时,
;当q>1时,
不存在;
(4)
不存在,
。
(5)无穷等比数列{an}中,首项a1,公比q,前n项和Sn,各项之和S,则
(只有在0<|q|<1时)。
本文来自:逍遥右脑记忆 http://www.jiyifa.net/gaozhong/854115.html
相关阅读:备战高考数学一轮备考五点建议



