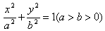
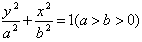
椭圆的标准方程:
(1)中心在原点,焦点在x轴上:
;
(2)中心在原点,焦点在y轴上:
。
椭圆的图像:
(1)焦点在x轴:
;
(2)焦点在y轴:
。
巧记椭圆标准方程的形式:
①椭圆标准方程的形式:左边是两个分式的平方和,右边是1;
②椭圆的标准方程中,x2与y2的分母哪一个大,则焦点在哪一个轴上;
③椭圆的标准方程中,三个参数a,b,c满足a2= b2+ c2;
④由椭圆的标准方程可以求出三个参数a,b,c的值.
待定系数法求椭圆的标准方程:
求椭圆的标准方程常用待定系数法,要恰当地选择方程的形式,如果不能确定焦点的位置,那么有两种方法来解决问题:一是分类讨论,全面考虑问题;二是可把椭圆的方程设为
n)用待定系数法求出m,n的值,从而求出标准方程,
本文来自:逍遥右脑记忆 http://www.jiyifa.net/gaozhong/854148.html
相关阅读:2017年贵州高考理科数学试卷结构



