双曲线的标准方程:
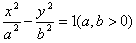
(1)中心在原点,焦点在x轴上:
;
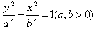
(2)中心在原点,焦点在y轴上:
。
双曲线的图像:
(1)焦点在x轴上的双曲线的图像
;
(2)焦点在y轴上的双曲线的图像
。
判断双曲线的焦点在哪个轴上:
判断双曲线的焦点在哪个轴上的方法看未知数前的系数,哪一个为正,焦点就在哪一个轴上.
定义法求双曲线的标准方程:
求动点的轨迹方程时,可利用定义先判断动点的轨迹,再写出方程.平面几何中的定理性质在解决解析几何问题时起着简化运算的作用,一定要注意应用,根据双曲线的定义,到两个定点的距离之差的绝对值是一个常数的点的轨迹是双曲线,可以求双曲线的标准方程,
待定系数法求双曲线的标准方程:
在求双曲线标准方程时,可先设出其标准方程,再根据双曲线的参数a,b,c,e的取值及相互之间的关系,求出a,b的值,已知双曲线的渐近线方程,求双曲线方程时,可利用共渐近线双曲线系方程
,再由其他条件求λ.若焦点不确定时,要注意分类讨论.
利用双曲线的性质求解有关问题:
要解决双曲线中有关求离心率或求离心率范围的问题,应找好题中的等量关系或不等关系,构造出离心率
的关系式,这里应和椭圆中a,b,c的关系区分好,即
几种特殊的双曲线:
| 等轴双曲线 | 实轴和虚轴相等的双曲线叫做等轴双曲线.离心率 两条渐近线互相垂直 |
| 共轭双曲线 | ![]() ![]() ![]() |
| 共渐近线的双曲线 | ![]() |
本文来自:逍遥右脑记忆 http://www.jiyifa.net/gaozhong/925200.html
相关阅读:高中数学知识点:点到直线、平面的距离




两条渐近线互相垂直


