正态分布的定义:
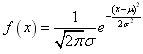
如果随机变量ξ的总体密度曲线是由或近似地由下面的函数给定:
,x∈R,则称ξ服从正态分布,这时的总体分布叫正态分布,其中μ表示总体平均数,σ叫标准差,正态分布常用
来表示。
当μ=0,σ=1时,称ξ服从标准正态分布,这时的总体叫标准正态总体。
叫标准正态曲线。
正态曲线
,x∈R的有关性质:
(1)曲线在x轴上方,与x轴永不相交;
(2)曲线关于直线x=μ对称,且在x=μ两旁延伸时无限接近x轴;
(3)曲线在x=μ处达到最高点;
(4)当μ一定时,曲线形状由σ的大小来决定,σ越大,曲线越“矮胖”,表示总体分布比较离散,σ越小,曲线越“瘦高”,表示总体分布比较集中。
在标准正态总体N(0,1)中:
(1)
;
(2)
(因为曲线关于y轴对称);
(3)
,
。
本文来自:逍遥右脑记忆 http://www.jiyifa.net/gaozhong/969718.html
相关阅读:浅谈数学教学中如何运用多媒体技术



